微结构固体力学团队提出增强柔性电子器件弹性可拉伸性的厚截面复合结构设计策略
实现高弹性可拉伸性是柔性电子领域的核心关注点和持续挑战。基于传统且广泛应用的制备技术,如薄膜沉积和光刻,大量1微米级甚至更薄的薄截面条带状金属结构已被开发出来,从而实现柔性电子器件的可拉伸性(图1)。然而,结构极薄的特性导致其在与柔性基底耦合变形拉伸过程中发生面外褶皱屈曲和应力集中,限制了其弹性可拉伸性的范围,尤其是在弹性模量为兆帕级的基底上,问题更加显著。近来,中国科学院力学研究所苏业旺研究员团队提出了一种厚截面有机/无机复合结构设计策略,即在薄截面条带金属结构上复合一层厚聚合物层,可实现对弹性可拉伸性的成倍增加。该研究成果以“A Laminating Strategy to Manyfold Enhance the Elastic Stretchability of Stretchable Electronics”为题近期发表在国际期刊Advanced Science上。
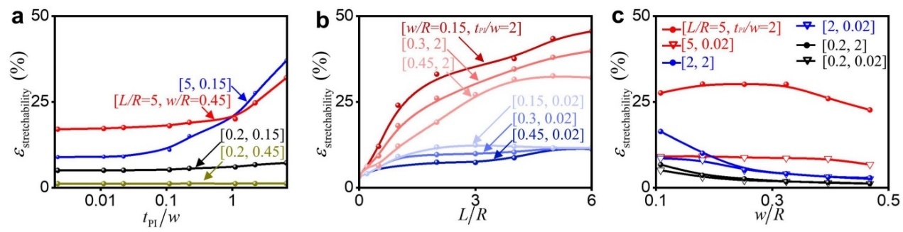
研究团队提出了一种厚截面复合结构设计策略,以大幅增强可拉伸结构的弹性可拉伸性。以蛇形互连为例,理论、数值和实验结果共同验证,将厚聚合物层复合到薄带状金属结构上,可以诱导结构的变形模式从面外屈曲转变为面内弯曲,从而有效降低应力集中,圆弧段的弯曲在直线段产生显著的转角,进而大幅提升了直线段结构产生的位移,该方法使其弹性可拉伸性提升到原来的3倍或更多(图2)。进一步,本研究系统分析了面内几何尺寸对厚截面复合结构设计策略的影响,为该策略的应用在尺寸设计方面提供了指导(图3);而且,厚截面复合结构设计策略还可以与本团队提出的过拉伸策略(Juyao Li, Xiaolei Wu, and Yewang Su*, Advanced Materials, 2023, 35, 2300340.)结合,对不同几何形状的可拉伸结构均具有一定的协同增强效果(图4)。更重要的是,厚截面复合结构设计策略克服了相对较硬(弹性模量在兆帕量级)弹性基材对弹性可拉伸性的限制,使可拉伸传感器能够监测具有高弹性模量的智能轮胎的局部大应变(图5)。
论文第一作者为力学研究所研究生周赞鑫,通讯作者为苏业旺研究员。该工作得到了来自国家自然科学基金委和河南省中科科技成果转移转化中心开放性课题项目的支持。
原文链接:
https://advanced.onlinelibrary.wiley.com/doi/10.1002/advs.202521763

图1.过去二十年薄截面条带状金属可拉伸结构设计方案的演变

图2. 厚截面复合结构设计策略的展示与原理

图3. 几何参数对厚截面复合结构设计策略的影响

图4. 厚截面复合结构设计策略与过拉伸策略的结合

图5. 厚截面复合结构设计策略在硬弹性基底上的应用